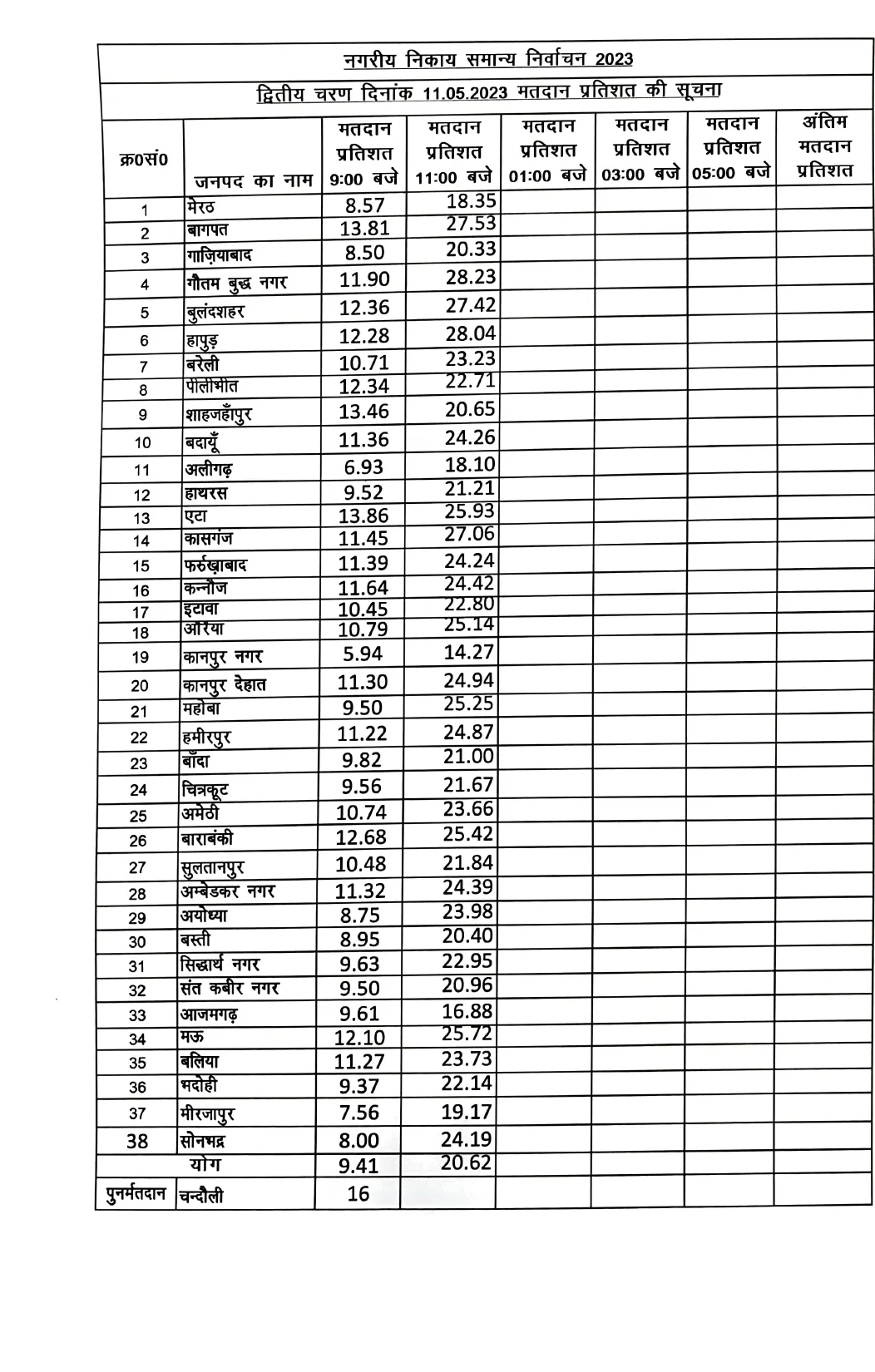
UP Nikay Chunav Live : यूपी में दूसरे चरण का मतदान समाप्त, 13 मई को होगी मतगणना
लखनऊ, अमृत विचार। यूपी में गुरुवार शाम को नगर निकाय चुनाव के दूसरे चरण का मतदान समाप्त हो गया है। दूसरे चरण में 38 जिलों में मतदान हुआ है। सुबह सात बजे से शुरू हुआ मतदान शाम 6 बजे समाप्त हुआ। इस दौरान 370 निकायों के लिए अलग अलग पदों पर 39146 उम्मीदार अपनी किस्मत अजमा रहे थे। नगर निकाय चुनाव का दूसरा यानी की अंतिम चरण समाप्त होने के बाद अब 13 मई को मतगणना होगी।
बस्ती में नगर निकाय के लिए सुबह 9 बजे तक मतदान
नगर पालिका बस्ती, 7.48
नगर पंचायत बनकटी, 9.64
नगर पंचायत नगर, 4.56
नगर पंचायत गनेशपुर, 13.4
नगर पंचायत गायघाट, 13.62
नगर पंचायत मुंडेरवा, 4.94
नगर पंचायत बभनान, 13.13
नगर पंचायत हर्रैया, 11.04
नगर पंचायत कप्तानगंज, 10.8
नगर पंचायत रुधौली, 8.44
कुल मतदान प्रतिशत 8.94
अयोध्या में भारी अव्यवस्था के बीच सुबह से मतदान शुरू हुआ है। मतदान केंद्रों पर मतदाताओं की कतार। कई मतदान कक्ष में रोशनी के उचित प्रबंधन नहीं, ईवीएम मशीन पर मतपत्र साफ नहीं दिखाई पड़ रहे हैं।
.jpg)
अयोध्या में BJP महापौर प्रत्याशी गिरीश पति त्रिपाठी ने परिवार सहित किया रायगंज बूथ पर मतदान। इस अवसर पर पुजारी पंकज मिश्र ने भी डाला वोट।
.jpg)
आईजी रेंज और मंडलायुक्त ने कई बूथ और मतदान केंद्र का किया निरीक्षण। शहर के बाद बीकापुर पहुंचे अधिकारी।
अयोध्या में बूथ पर लगी मतदाताओं की लाइन, दो घंटे में 8.75 प्रतिशत मतदान
.jpg)
अयोध्या : प्राथमिक विद्यालय सहादतगंज प्रथम वोट डालने के लिए लगी लम्बी लाइन
सुलतानपुर में सुबह 9:00 बजे तक 10.48 % वोट पड़े।
बीकापुर सपा प्रत्याशी कस्टडी में
बीकापुर नगर पंचायत के सपा चेयरमैन प्रत्याशी जुग्गी लाल यादव कस्टडी में लिए गए। बीकापुर कोतवाली में वाहन स्कॉर्पियो के साथ प्रत्याशी बैठाए गए हैं। आरोप है मतदाताओं से जबरदस्ती अपने पक्ष में वोट डालने के लिए मजबूर कर रहे थे। आचार संहिता उल्लंघन का मुकदमा दर्ज हुआ है।
अंबेडकरनगरः नगर निकाय चुनाव नौ बजे तक मतदान प्रतिशत
नगर पालिका अकबरपुर-8.56
नगर पालिका टांडा-11.5
नगर पालिका जलालपुर- 12
नगर पंचायत अशरफपुर किछौछा-11.45
नगर पंचायत इल्तिफातगंज- 11.75
नगर पंचायत राजेसुल्तानपुर- 12
नगर पंचायत जहांगीरगंज- 12
कुल मतदान प्रतिशत-11.32
.jpg)
बाराबंकी में 9 बजे तक 12.68 प्रतिशत हुआ मतदान
मऊ में पकड़ी गई फर्जी वोटिंग, 6 लोगों के खिलाफ मुकदमा दर्ज
निकाय चुनाव के दूसरे चरण में यूपी के मऊ जिले में फर्जी वोटर पकडे गए हैं इनमें 2 महिलाओं समेत 6 लोग शामिल हैं। इन सभी के वोटर कार्ड फर्जी पाए गए हैं। इनके ऊपर सुसंगत धाराओं में मुकदमा दर्ज किया गया है।
.jpg)
अंबेडकरनगर में बसपा प्रत्याशी ने लगाया ADM पर धमकाने का आरोप
नगर निकाय चुनाव में प्रशासन और उम्मीदवारों के बीच तकरार का मामला सामने आने लगा है। अकबरपुर नगर पालिका से बसपा उम्मीदवार सुरेश कुमार वर्मा को अपर जिलाधिकारी डॉ. सदानंद गुप्ता द्वारा धमकाए जाने का एक वीडियो सोशल मीडिया पर वायरल हुआ है। चुनाव के बीच भ्रमण करते हुए बसपा नेता डॉ. जी के जेतली इंटर कॉलेज बूथ पर मतदान की मौजूदा स्थिति जानने पहुंचे थे। संयोग से वही उनकी मुलाकात एडीएम से हो गई। अंदर जाने से रोकने पर जब बसपा प्रत्याशी ने परिचय दिया तो वह नाराज हो उठे। आरोप है कि एडीएम ने उन्हें धमकाया और कहा नहीं माने तो दूसरे तरीके से काम लिया जाएगा। जरूरी हुआ तो उठवा लेंगे। बसपा नेता ने इस पर कड़ी नाराजगी जताई है।
.jpg)
बाराबंकी में 103 वर्षीय महिला रहमतुल ने किया वोट, आधार कार्ड पर इनकी जन्मतिथि 01/01/1920 है
कन्नौज के गुरसहायगंज में वोटिंग के दौरान बवाल हो गया है। यहां के सरोजिनी देवी कॉलेज के बूथ पर सपा प्रत्याशी ने फर्जी वोटिंग किये जाने का आरोप लगाया है। मौके पर प्रशासनिक अधिकारी मौजूद हैं।
.jpg)
.jpg)
.jpg)
.jpg)
अयोध्या में पुजारी राजू दास, महंत नृत्य गोपाल दास, महंत ज्ञान दास और प्रथम मेयर ऋषिकेश उपाध्याय ने किया मतदान
बस्ती में संदिग्ध परिस्थितियों में राजकीय इंटर कॉलेज के बूथ के पास घूम रहे युवक को पुलिस ने हिरासत में लिया है। पुलिस की तरफ से शांतिपूर्ण मतदान के लिए लगातार प्रयास जारी हैं।
.jpg)
अंबेडकरनगर में 11 बजे तक हुआ 24.39 प्रतिशत मतदान
नगर पालिका अकबरपुर-23.4
नगर पालिका टांडा-25
नगर पालिका जलालपुर- 24
नगर पंचायत अशरफपुर किछौछा-24.17
नगर पंचायत इल्तिफातगंज- 27.19
नगर पंचायत राजेसुल्तानपुर- 21
नगर पंचायत जहांगीरगंज- 26
कुल मतदान प्रतिशत-24.39
बस्ती में 11 बजे तक 20 प्रतिशत हुआ मतदान
नगर पालिका बस्ती, 16
नगर पंचायत बनकटी, 20
नगर पंचायत नगर, 16
नगर पंचायत गनेशपुर, 24
नगर पंचायत गायघाट, 30
नगर पंचायत मुंडेरवा, 24
नगर पंचायत बभनान, 29
नगर पंचायत हर्रैया, 24
नगर पंचायत कप्तानगंज, 24
नगर पंचायत रुधौली, 26
कुल मतदान प्रतिशत 20

.jpg)
देखिये अब तक वोटिंग से जुड़ी लेटेस्ट Update
.jpg)
गुरुवार को नगरीय निकाय चुनाव के मतदान के दौरान साहबदीन - सीताराम मतदान केंद्र पर ऐसे दिखी लाइन। निर्माणाधीन रामपथ को लेकर खोदे गए नाले के कारण बांस - बल्ली लगा रास्ता बनाया गया। मतदाताओं की सुरक्षा के लिए जाल लगाया गया। यहां बाहर तक कतार लगी रही।
11 बजे तक नगर पंचायत भरतकुंड-भदरसा में वोटिंग का प्रतिशत बढ़ते क्रम में रहा। जबकि अयोध्या निगम क्षेत्र व बीकापुर पंचायत में वोटिंग बेहद धीमी गति से हुई है।
निकाय मतदान
अयोध्या नगर निगम 22.65
नपा रुदौली 27.21
नगर पंचायत कुमारगंज 26.95
खिरौनी सुचितगंज। 23.98
गोसाईगंज 24.03
बीकापुर 22.09
भरतकुंड भदरसा 28.47
मां कामाख्या 28.33
देखिये 1 बजे तक बस्ती का लेटेस्ट वोटिंग पर्सेंटेज
.jpg)
1 बजे तक सुल्तानपुर में हुई 33.81 फीसदी वोटिंग
सुल्तानपुर में नगर निकाय चुनाव प्रतिशत
सुल्तानपुर नगर पालिका (32.20%)
कादीपुर नगर पंचायत (43.21%)
दोस्तपुर नगर पंचायत (33.35%)
कोइरीपुर नगर पंचायत (41.02%)
लंभुआ नगर पंचायत (35.37%)
टोटल प्रतिशत 33.81
अंबेडकरनगर में 1 बजे तक नगर निकाय चुनाव में हुई 38.60 प्रतिशत वोटिंग
नगर पालिका अकबरपुर-35.71
नगर पालिका टांडा-37.05
नगर पालिका जलालपुर- 37.6
नगर पंचायत अशरफपुर किछौछा-36.6
नगर पंचायत इल्तिफातगंज- 41
नगर पंचायत राजेसुल्तानपुर- 42
नगर पंचायत जहांगीरगंज- 41
कुल मतदान प्रतिशत-38.60
1 बजे तक अयोध्या में हुआ 36.57 प्रतिशत मतदान
अलीगढ़ में 3 बजे तक हुआ 38.61 प्रतिशत मतदान
अयोध्या में 3 बजे तक 46.75 फीसदी मतदान हुआ है। इसमें नगर निगम के लिए 36.96 प्रतिशत वोट डाले गए हैं।
अंबेडकरनगर में 3 बजे तक हुई 49.42 फीसदी Voting - देखें आंकड़े
नगर पालिका अकबरपुर-46.29
नगर पालिका टांडा-49
नगर पालिका जलालपुर- 49.07
नगर पंचायत अशरफपुर किछौछा-48.4
नगर पंचायत इल्तिफातगंज- 50.17
नगर पंचायत राजेसुल्तानपुर- 51
नगर पंचायत जहांगीरगंज- 52
कुल मतदान प्रतिशत-49.42
3 बजे तक सुल्तानपुर में हुई 44.49 फीसदी वोटिंग - पढ़िए लेटेस्ट अपडेट
सुलतानपुर नगर पालिका (42.22%)
कादीपुर नगर पंचायत (56.77%)
दोस्तपुर नगर पंचायत (42.84%)
कोइरीपुर नगर पंचायत (51.92%)
लंभुआ नगर पंचायत (48.77%)
कुल मतदान प्रतिशत 44.49%
यूपी निकाय चुनाव ब्रेकिंग - 17 निकायों में अब तक पकड़े गए 150 के करीब फर्जी वोटर। गलत आधार से वोटिंग करने का आरोप। पुलिस ने सभी पर दर्ज किया सुसंगत धाराओं में मुकदमा।
नगर पंचायत भदरसा और कुमारगंज में बरस रहे वोट, अभी तक 46.75 फीसदी वोटिंग
निकाय 9 बजे तक 11 बजे तक 1 बजे तक 3 बजे
नगर निगम 9.15 22.65 28.41 36.96
नपा रुदौली 12.1 27.21 35.22 45.40
नपं कुमारगंज 12.11 26.95 39.95 51.24
नपं खिरौनी सुच्चितागंज 10.08 23.98 35.29 47.46
नपं गोसाईगंज 11.06 24.03 37.48 47.38
नपं बीकापुर 12 22.09 36.58 48.75
नपंभरतकुंड भदरसा 14.3 28.47 40.87 51.69
नपं मां कामाख्या 15.22 28.33 38.75 45.14
नोट-मतदान के आंकड़े प्रतिशत में हैं।
बस्ती में हरैया विधायक अजय सिंह और सपा से नगर पंचायत हरैया के प्रत्याशी कौशलेंद्र प्रताप सिंह राजू के बीच वोटिंग के दौरान हुई तीखी नोकझोंक। विधायक पर लगाया वोटिंग प्रभावित करने का आरोप।
पढ़िए अयोध्या में 5 बजे तक हुआ कितने फीसदी मतदान
.jpg)
भदरसा नगर पंचायत में सर्वाधिक 63.23 फीसदी और नगर निगम में सबसे कम 45.70 फीसदी मतदान। बीकापुर में 62.55 व कुमारगंज में 62.53 तथा गोसाईगंज में 61.40 फीसदी मतदान।
